Table of Contents
GCSE or General Certificate of Secondary Education is an academic qualification. This course includes numerous subjects pursued by the pupils of secondary education in England, Wales and Northern Ireland. All pupils are required to study English, Mathematics and Science along with various subjects.
Circle theoremsare a number of theorems related to the circle. It is a significant component of the GCSE curriculum. Let’s discuss in details the intricacies of circle theorems.
You need to understand some circle rules, terms and equations to solve problems on different circle theorems:
Now, that you know all the basic terms, let’s understand circle theorems in detail.
Circle theorems include several theorems. Some fundamental theorems included in the GCSE curriculum are:
Let’s discuss each theorem in detail.
It is one of the significant theorems among the circle angle theorems. The theorem is related to the measurement of an inscribed angle to that of the central angle, subtending the same arc.

Image 1: Diagram of Inscribed Angle Theorem
The value of an inscribed angle is equal to one-half of the value of its intercepted arc. Generally, the proof begins with the case when one side of the inscribed angle is a diameter. Then the angles inside a circle is an external angle of an isosceles triangle. In situations where a side of the inscribed angle is not a diameter, it can be reduced to the former by appropriate auxiliary lines.
Thales theorem is a special case of the theorem of inscribed angle. It was proved in the 31st proportion of the third book of Euclid’s Elements.

Image 2: Diagram of Thales theorem
The Thales theorem is used to find the centre of the circle. In the figure, a right angle whose vertex is situated on the circle always cuts off the diameter of the circle. The points P and Q are always at the end of a diameter line. On drawing two diameters, the centre is found at the point where the diameters intersect.
Alternate segment theorem helps in finding angles in circle.

Image 3: Diagram of Alternate segment theorem
The alternate segment theorem states that an angle between a tangent and a chord through a point of contact is equal to the angle in the alternate segment.
The theorem is named after the Greek mathematician and astronomer Ptolemy. Ptolemy used the theorem to create his table of chords, a trigonometric table that was applied to astronomy.

Image 4: Ptolemy’s theorem
Ptolemy’s theorem states that if a convex quadrilateral ABCD is inscribed in a circle, the sum of the products of two pairs of opposite sides , is equal to the product of two diagonals.
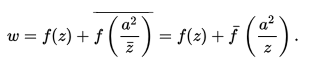
Milne-Thomson circle theorem is a statement that provides a new stream function for fluid flow.

Image 5: A generalised image of the Milne-Thomson theorem
Let w = f (z) be the complex stream function for fluid flow with no rigid boundaries and no singularities within |z| = a. If a circular cylinder |z| = a is placed in that flow, the complex potential for the new flow is given by:

Image 6: Formula

Image 6: Five circles theorem diagram
The five circles theorem states that if five circles are centred on a common sixth circle, and it intersects each other chain wise on the same circle, then the lines joining to the second intersection points to form a pentagram.

Image 7: Diagram of the six circles theorem
The six circles theorem states that in a chain of six circles together with a triangle, each circle lies tangent to the two sides of the triangle. It should also precede the circle in the chain. The chain should close in a way that the sixth circle is always tangent to the first circle.
The tangent circle theorem includes two theorems:
A radius is obtained by joining the centre and the tangency point. The tangent at a point on the circle lies at a right angle to the radius.

Image 8: Diagram of Theorem 1
The theorem states that if one draw’s two tangents from an external point to a circle, then they have two equal tangents. Tangent segment implies that a line should join the external point to the tangency point. Here, AC= BC. Take a look at the following diagram:

Image 9: Theorem of Diagram 2
Now, you may have an idea of some of the basic circle theorem included
in the GCSE curriculum.
Scoring high grades in circle theorem largely depend on the ability of a student to recognise and remember various angle rules and circle formulae. Understand circle theorems and rules to solve your GCSE assignments better. With regular practice, you will soon be able to handle circle theorem questions with ease and fetch excellent grades.
If you are struggling with a complicated maths assignment or analytical geometry homework then the experts of MyAssignmenthelp.com can come to your aid.
End your academic worries and let the experts of MyAssignmenthelp.com be your saviour right now. The experts understand your challenges and provide accurate content with proper graphs and diagrams. They not only assist students with flawless content but also help them to achieve academic excellence.
The qualified experts of MyAssignmenthelp can help you with a diverse range of topics such as trigonometry, geometry, calculus or algebra. Hire experts for geometry assignment help online from myassignmenthelp.com.
Students hiring our services get to enjoy numerous benefits like:
Opt for math assignment help now to get rid of terrible math nightmares. Visit our website and place an order today.